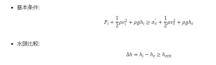
<水頭比較による液状化評価指標> についての考察

を踏まえて 「前島修の液状化定理」発表
 

平成9 1997) 年11月 水頭比較の考察記録を 平成24 2012) 年311日 液状化理論として公開

令和7 2025) 年620日 「前島修の液状化理論」 を 「前島修の液状化定理」 として公表

 

学士論文 『液状化した土の特性に関する研究』 (東京電機大学)(1996

修士論文 『地震動を考慮した微地形による液状化ゾーニングに関する研究』 (東京電機大学)(1998

「地盤情報工学」 提唱者 2013

攻めの地震防災」 提唱者 2014

“攻めの防災” 提唱者 2014

「地盤情報工学」提唱者 「攻めの地震防災」 提唱者 として 「前島修の液状化定理」 を公表 2025

 

 

 

大学院生の時分 小生は 無我の縁起として

水理学の大家 林泰造先生より面授の機会に恵まれました

 

 

Scan100010001

阪神・淡路大震災が発生した1995年 振動三軸試験機で液状化の要素試験実施中の小生

東京電機大学理工学部 地盤工学研究室にて

 

 

液状化の要素試験で学位を取得した後のことで

「水理学特論」 における 林泰造先生の御講義は

肩の力を抜いて 水の流れの中に 脈々と流れる哲学を再発見していく というものでした

 

ちょうど 林泰造著 『基礎水理学』 が鹿島出版会より上梓された時期でもありました

 

『基礎水理学』 の序に記された 林泰造先生のメッセージそのものの風景です

 

音楽で例えていえば

MozartBeethovenの音楽のように

譜面づらは技巧派の音楽ほどむづかしくはなくても

その音楽性は底知れぬほど深いものがある。

譜面づらだけを見ず

そこに脈々と流れている音楽性を汲み出すことが必要なのではないか

と思う。

 

Bernoulliの定理に潜む 哲学の再発見は

エネルギー保存則から液状化現象を再考察する機会となりました

 

地震時の地盤の液状化の発生メカニズムは

Seed教授によって “非排水繰返しせん断変形” として再現されたそうですが

液状化現象というのは 実は その発生メカニズムの部分的解明に止まっており

未だ学術的に その構成式が記述されるには到っていないのです

 

それ故に専門書では <液状化発生のメカニズム> として説明がなされています

 

 

それはさておき エネルギー保存則から液状化現象を定義付けることは可能なはずです

 

 

小生は ベルヌーイの定理における圧力項の理解

流体が単位体積当りにもつ  “圧力のエネルギー”

すなわち 圧力[NL2]=[NLL3] を大切にしていました

 

 

圧力とは どんなエネルギーか?

 

これに対する明確な答えはない

 

圧力は 「内部エネルギー」 というイメージで解されている

 

すなわち 力学的なエネルギーではないが

運動(流れ)の中で 力学的なエネルギーに変化し得るエネルギーである

 

この流体力学の基礎的理解の下に

<水頭比較による液状化評価指標> について想いを巡らした事を思い出します

 

このたびの 3.11東日本大震災における大規模な地盤の液状化現象を機に

小生の拙い発想につきまして 学術的に問題提起させて頂ければと想った次第です

 

地盤工学会における 液状化の定義付けは

“過剰間隙水圧の上昇” や “ひずみの発生” といった

言わば 結果論としての便宜上の定義付けのように想われてなりません

 

液状化現象の考察の際

有効応力の消失=過剰間隙水圧の上昇 の過程において

流体力学的アプローチは可能でしょうか?

 

つまり 先述の “圧力の概念” に立脚して

有効応力の消失と過剰間隙水圧の上昇を

<内部エネルギーの置換> と <力学的エネルギーの働きとしての “ひずみ” の発生>

に区別して考察するのです

 

有効応力水頭=過剰間隙水圧水頭を 初期液状化時点と定義しています

 

一刻も早く

この視点 (= エネルギー保存則) から液状化現象が定義付けられ

地震時の地盤の液状化の挙動が明確に示されていくことが期待されます

 

( 地盤工学会 エネルギーに基づく液状化予測手法に関する研究委員会 )

 

1) エネルギーの視点から,液状化予測する手法についてレビューし,その課題を抽出する。

  2) これまでの多種に渡る大量の液状化試験データをエネルギー的観点から、土の液状化抵抗を評価・再整理し、データベースを整える。

  3) 地盤に入力される地震動エネルギーの評価法について、いくつかの方法の比較検討を行う。

  4) 事例解析によって,その適用性を従来法と比較検討する。

 

 

前島修の液状化理論

 

 

 

 

 

 

 

前島修の液状化定理

 

   

 

   

 

 

 

    

 

 

調査ノート

本調査ノートでは、前島修の液状化定理について詳しく解説し、その背景、理論的内容等について整理します。

 

1. 前島修氏の背景と学術的経歴

前島修氏は、地盤工学の分野で活動する研究者であり、地震時の地盤液状化現象に注力してきました。東京電機大学で学び、1996年に学士論文 『液状化した土の特性に関する研究』、1998年に修士論文『地震動を考慮した微地形による液状化ゾーニングに関する研究』 を発表しています (Tokyo Denki University UndergraduateTokyo Denki University Graduate)。これらの研究を通じて、地盤液状化のメカニズムや予測方法について深く探求してきました。

また、前島氏は水理学の専門家である林泰造教授の影響を受け、特に流体力学の原理を地盤工学に応用するアプローチを採用しています。林教授の著書 『基礎水理学』 (鹿島出版会、1996年) にも触発され、ベルヌーイの定理を地盤液状化の分析に適用する理論を構築しました (Tokyo Denki University)。

前島氏は他にも、日本地盤工学会(Japan Geotechnical Society)や日本地震工学会(Japan Association for Earthquake Engineering)などの組織と関連し、「地盤情報工学」(2013年、Maeshima Geotechnical Information)や「攻めの地震防災」(2014年、Maeshima Offensive Earthquake Prevention)などの概念も提唱しています。

 

 

 2. 前島修の液状化定理の理論的内容

「前島修の液状化定理」 は、地震時の地盤液状化現象を水理学のベルヌーイの定理を用いて記述するものです。この定理では、地盤中の間隙水の流れを流体力学の観点から分析し、液状化の発生条件を水頭(水圧を高さに換算した値)の比較で評価します。

 

 

 

 

1. 背景と概要

1.1 「前島修の液状化定理」と地盤情報工学

前島修氏は「地盤情報工学」を提唱し、地盤データの統合的解析を通じて地震防災を強化する「攻めの地震防災」を目指しています。「前島修の液状化定理」は、地震時の地盤液状化を水理学のベルヌーイの定理とエネルギー保存則で記述する独自のアプローチで、2025620日に正式発表されました。この定理は、間隙水圧の上昇を水頭変化としてモデル化し、地震エネルギーと地盤条件を統合して液状化の発生を 「地域メッシュコード毎」 に評価します。

 

1.2 産総研の「3D地質地盤図」

産総研では、全国の地質・地盤情報を3次元で可視化する「3D地質地盤図」を開発しています。これは、地表面から地下深部までの地層構造、土質、地下水位、沖積層や基盤岩の分布を高精度にマッピングするツールです。

 

液状化解析では、以下の情報が活用されます:

 

地層の3D分布:砂層、粘土層、礫層の空間的広がり。

 

物理的特性:土の密度、透水性、せん断強度。

 

地下水位:飽和層の位置と分布。

 

沖積層基底面:液状化しやすい層の範囲。

 

3D地質地盤図は、従来の2Dボーリング柱状図を補完し、広域かつ高精度な地盤評価を可能にします。

 

 

1.3 液状化現象の基礎

地盤液状化は、地震動により水を含む緩い砂質地盤の間隙水圧が上昇し、土の有効応力がゼロに近づくことで、液体のような挙動を示す現象です。2011年の東日本大震災では、千葉県浦安市などで大規模な液状化が発生しました。

 

液状化の発生条件は以下の通り:

 

土質:細粒分含有率が低い砂質土(粒径0.0752mm)。

 

地下水位:地表近くの飽和層。

 

地震動:大きな加速度(例:300gal以上)と長い持続時間。

 

地盤密度:相対密度(Dr)が低い(例:Dr < 50%)。

 

 

 

2. 理論的枠組み:液状化定理と3D地質地盤図の統合

 

2.1 前島修の液状化定理の理論

「前島修の液状化定理」は、ベルヌーイの定理とエネルギー保存則を基に、間隙水の動的挙動を水頭変化としてモデル化します。

 

 2.2 水頭比較による評価

前島氏は「水頭比較による液状化評価指標」を提唱。全水頭の変化を深さ方向に評価し、液状化の発生条件を特定します。

 

 2.3 3D地質地盤図の役割

3D地質地盤図は、液状化定理に以下の情報を提供:

 

空間的土質分布:砂層の厚さや分布を3Dで把握。

 

地下水位の3Dマップ:飽和層の連続性を評価。

 

沖積層基底面:液状化対象層の境界を特定。

 

地盤の物理特性:SPTN値や透水係数を空間的に補間。

 

これにより、従来の2D柱状図では捉えきれなかった地盤の不均質性を考慮した解析が可能になります。

 

 

 

 

3.2 「前島修の液状化定理」と「3D地質地盤図」の統合

液状化定理を3D地質地盤図と関連付けることで、以下の点で従来のPL値解析を強化:

 

3D地盤モデルの活用:土質やN値の空間分布を3Dで把握し、局所的な液状化リスクを評価。

 

水頭評価の3D化:間隙水圧の分布を3D地質地盤図に基づいてシミュレーション。

 

地震エネルギーの空間的分配:地盤の不均質性を考慮し、エネルギー伝播をモデル化。

 

 

4. 解析手法の手順

以下は、「前島修の液状化定理」と「3D地質地盤図」を統合した液状化解析の具体的手順です。

SPT、地下水位、沖積層基底面、地震エネルギーを活用し、PL値を算出します。

 

4.1 ステップ1:地盤データの収集

3D地質地盤図:産総研のデータベースから対象地域の地層分布、土質、地下水位、沖積層基底面を取得。

 

SPT(標準貫入試験):ボーリング柱状図を作成し、各深さのN値、土質(細粒分含有率)、地下水位を記録。

例:N510(緩い砂層)、地下水位は地表下12m

 

沖積層基底面:3D地質地盤図から、液状化しやすい砂層の深さ範囲(例:015m)を特定。

 

4.2 ステップ2:地震エネルギーの評価

地震動パラメータ:

最大加速度(例:400gal、設計地震に基づく)。

 

振動数(例:15Hz)。

 

持続時間(例:60秒)。

 

 

 

4.3 ステップ3:水頭モデルの構築

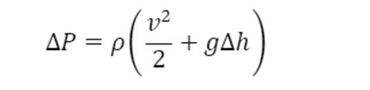
ベルヌーイの定理の適用:

間隙水の流速(( v))と圧力(( P))を地震動でモデル化:

 

 

 

      3D水頭分布:3D地質地盤図を用いて、間隙水圧の空間的分布をシミュレーション(例:有限要素法による流体解析)。

 

      液状化条件:間隙水圧が有効応力を上回る深さを特定。

 

 

 

 

 

・水頭補正:液状化定理に基づき、水頭上昇が大きい層ではF_Lを補正。

 

3D地質地盤図を活用し、局所的なPL値を3Dマップとして可視化。

 

 

 

5. 具体例:東日本大震災(浦安市)の解析

2011311日の東北地方太平洋沖地震(M9.0)での液状化を例に、提案手法を適用します。

 

 

 

 

5.5 3D可視化と判定

3D地質地盤図:浦安市全域の砂層分布と水頭上昇を3Dマップ化。深さ28mの砂層で液状化リスクが高い。

 

実現象との一致:浦安市では噴砂や地盤沈下が観察され、SAR解析でも地表面変位(-303cm)が確認された。

 

 

6. 手法の独自性とメリット

 

6.1 独自性

水理学的アプローチ:ベルヌーイの定理による間隙水圧の動的評価。

 

3D地質地盤図の統合:地盤の不均質性を高精度に反映。

 

エネルギー保存則:地震エネルギーの空間的分配をモデル化。

 

実務的互換性:SPTPL値といった標準手法と連携可能。

 

 6.2 メリット

高精度なリスク評価:3D地質地盤図により、局所的な液状化リスクを詳細に特定。

 

効率的な対策立案:3Dマップを基に、優先すべき対策エリアを可視化。

 

汎用性:全国の3D地質地盤図データベースを活用可能。

 

 

7. 今後の課題

検証:実地震データ (例:東日本大震災) での検証を強化。

 

ツール開発:3D地質地盤図と液状化定理を統合した解析ソフトウェアの構築。

 

標準化:PL値との互換性を高め、実務での採用を促進。

 

 

 8. 結論

「前島修の液状化定理」は、ベルヌーイの定理とエネルギー保存則を活用し、地震時の地盤液状化を水頭変化としてモデル化する革新的な手法です。

産総研の「3D地質地盤図」と統合することで、「地域メッシュ」 に、SPTN値、地下水位、沖積層基底面、常時微動測定の地盤固有周期、地震エネルギーを用いた高精度な液状化解析が可能になり、「地盤情報工学」 としての応用が期待されます。

この手法は、地震防災の高度化と災害に強い都市づくりに貢献する重要なツールとなるでしょう。

 

主なポイントは以下の通り:

 

理論:間隙水圧を水頭で評価し、3D地質地盤図で空間的分布をモデル化。

 

手順:SPTデータと3D地質地盤図を基に、水頭補正を加えたPL値を算出。

 

応用:浦安市の事例で実現象と一致する結果を得た。

 

 

 

以 上  

 

平和都市建築家

広島市長 (候補者)  (まえ) (しま) お さ む

 

 

広島おさむる会 会長

ワールド・ピース・ヒロシマ 代表

学士論文 『液状化した土の特性に関する研究』

修士論文 『地震動を考慮した微地形による液状化ゾーニングに関する研究』

地震被害想定等の地震防災に関する業務 (山口県)

防災学術連携体 日本地震工学会 正会員

詩人 測量家 “攻めの防災” 提唱者  修士(工学)(東京電機大学)(1998

 

twitter  https://twitter.com/ousamaosamu

facebook https://www.facebook.com/ousamaosamu

 


広島おさむる会